政策法规

首页 > 政策法规 > 新闻浏览

美国政府继续批准中国自行车产品的关税豁免

来源:美国贸易代表办公室 作者: 发布时间:2020-05-09 18:29

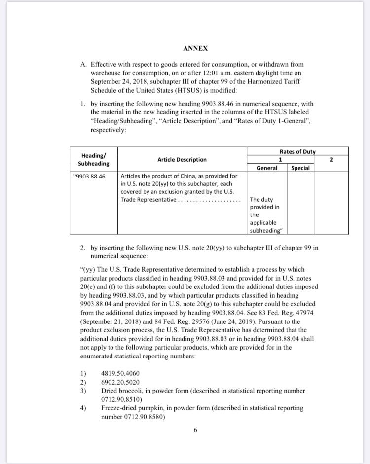
对于2000亿美元产品加征关税清单,美国贸易代表处于5月8日晚再次批准豁免5项自行车产品。

 

· 27cm x 19cm x 21.5cm(4202.92.3120)。

· 自行车碳纤三角架(8714.91.9000)。

· 自行车后轮摆臂式碳纤车架(8714.91.9000)。

· 碳纤维自行车轮圈,辐条孔外部加固,单价100美元或以上(8714.92.1000)。

· 镀锌或黑色粉末涂层钢制自行车架,外径不超过7厘米(9403.20.0090)。

原文如下:

注:中文为翻译件,如有任何疑问,请以原文为准。

 

 

摘编:中自协;   摘编日期:2020-5-9
Baidu
map